2025年11月6〜7日に鹿児島大学で開催されたVLBI懇談会シンポジウム2025「VLBIにおける新しい学際横断連携」において山口大学大学院創成科学研究科の修士2年生3名が優秀発表賞を受賞しました。
- 優秀口頭発表賞 原尻颯太
「大質量原始星 G353.273+0.641 に付随する 6.7 GHz メタノールメーザーの周期変動モニター」 - 最優秀ポスター発表賞 村上智哉
「YIを用いた大質量原始星に付随する電波ジェットのモニター観測」 - 最優秀口頭発表賞 野原祥吾
「VERA水沢搭載用 6-18 GHz 帯受信機に向けたスターリング冷却デュアーの設計」
左から野原さん、村上さん、原尻さん (理学部玄関にて)
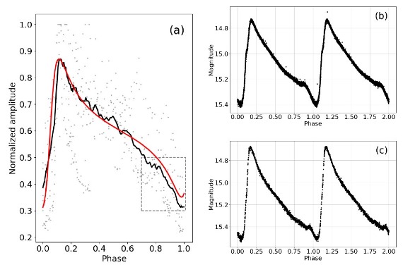
原尻さんは茨城大学との共同研究により、大質量原始星(注釈1)G353.273+0.641の周囲に存在する星間メタノール分子が放出する電波の明るさの変化から、同天体が周期的な変光を起こしていることを発見しました。変化の様子が死の間際の星と非常によく似ていることから、形成中の巨大な赤ちゃん星が、死ぬ直前の星と同様に脈動変光を起こしている可能性を初めて発見しました。

(a) 原尻さんが解析した原始星G353.273+0.641の平均的な光度変化の様子。横軸は309日周期内での相対的な時間、縦軸は最大値を1とした相対的な明るさである。灰色の点は平均に用いたデータ点、黒線は平均した光度変化、赤線は非対称関数によるモデルフィットの結果を表す。(b) (c): 死ぬ直前段階にある脈動変光星(RR-Lyraeと特異型Cepheid)の光度変化の様子。
村上さんは山口大学が運用する山口干渉計を用いて、いずれ巨大星となると期待される若い原始星候補天体50天体以上の電波光度をモニター観測し、多くの天体が1ヶ月から数ヶ月程度の短期強度変動を起こしていることを初めて発見しました。このような電波光度の変化は原始星に落下するガス量、もしくは星から噴き出すガスの量の変化を反映していると考えられます。この結果は若い原始星が我々の想定以上にダイナミックな成長過程を経ていることを示す結果です。
村上さんが山口干渉計で捉えた原始星の電波光度変化の1例。横軸は修正ユリウス日、縦軸は電波での明るさを表す。黒は6 GHz、赤は8 GHzでの観測結果を表す。数ヶ月程度の時間スケールで光度変動している様子がわかる。
野原さんはごく短い一瞬だけ宇宙から強い電波が降り注ぐ謎の現象「高速電波バースト」の詳細な性質を調べることを目的とし、大阪公立大学と共同で国立天文台VERA望遠鏡に搭載する新受信機の開発を進めています。当該受信機は6-18 GHzという広い周波数帯を一度に受信できる画期的なものであり、高速電波バーストの正体を解き明かす上で有効です。本発表では受信機の性能を引き出すための冷却機構の設計と試験状況について報告しました。
野原さんが作成中の冷却受信機の設計図(左)と実際に作成中の受信機の写真(右)
注釈1: 熱核融合を始める前の赤ちゃん星(原始星)のうち質量が太陽の8倍を超えているもの